
Enabling more sustainable textile printing with INSQIN®
The textiles industry is one of the world’s biggest polluters – generating 92 million tons of landfill and 1.2 billion tons of CO2 every year. Digital textile printing can help to reduce some of this impact: it can tackle overproduction by enabling the manufacture of single-digit lot sizes, while also being more energy- and resource-efficient.
In fact, switching from analog to digital textile printing using pigment inks can enable an 85% reduction in waste materials, a 55% reduction in energy consumption, a 60% reduction in water consumption, and a 95% reduction in CO2 emissions. In short, digital textile printing presents a huge opportunity to make textile production more sustainable.
Like any technology, inkjet printing needs the right input to succeed. Specifically, it needs to be supported by advanced formulations and carefully selected raw materials – such as polyurethane binders. Their good mechanical properties, high light-fastness, and pleasant feel make these binders a great choice.
However, not all polyurethane dispersions are suitable for digital printing applications: success depends on the compatibility of different materials and formulations. To enable excellent printing results and accelerate the adoption of digital textile printing, players across the textiles value chain will need to collaborate to find compatible solutions.
In addition, direct-to-foil (DTF) printing – where the ink is applied to a foil before being heat-pressed onto the textile substrate – is a particularly popular printing method thanks to advantages like low failure costs, ease of use, and substrate-independent printing, but it can cause severe sagging due to the relatively high ink load.

“Thanks to this collaboration, we’ve ensured that our KRONOS 9900 Digital White pigment dispersion is compatible with Covestro’s INSQIN® polyurethane binders – ideal for direct-to-foil textile printing. Together, we’ve cleared a barrier to the uptake of more sustainable digital printing technologies.”
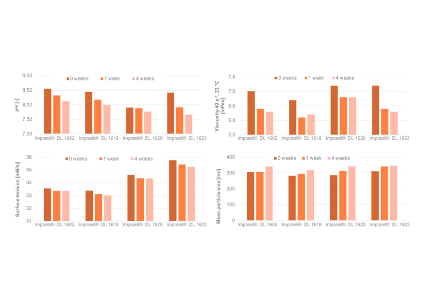
To meet this need, we teamed up with KRONOS, a leading producer of titanium dioxide pigments, which recently introduced a white pigment dispersion for the inkjet market. Together, we tested the compatibility of four inkjettable Impranil® polyurethane binders from our INSQIN® portfolio with KRONOS 9900 Digital White for white inks, checking their stability in an inkjet ink formulation.
The test results demonstrated that our INSQIN® digital printing toolbox is compatible with KRONOS 9900 Digital White, that no significant sedimentation was observed, and that all formulations showed good stability even after four weeks of testing at 50°C.

In the context of our collaboration, and given the strong market demand for white inks for DTF printing, we identified another challenge: sagging. So we developed a new polyurethane dispersion, Impranil® DL 1606, to address the issue of sagging in DTF printing. This state-of-the-art binder offers excellent anti-sagging properties and enables high white ink loads – making it a winning choice for white pigment inks used in inkjet printing. Its performance in compatibility, stability, printability, and image quality has been validated by our innovation partners, meaning textile manufacturers can reap the environmental and efficiency benefits of digital textile printing with full confidence in a high-quality result.
In short, by collaborating on an innovative solution and providing a next-generation material innovation, together with KRONOS, we are making it easier than ever for textiles players to adopt digital inkjet printing, and thereby contributing to a more sustainable textiles industry.
“By joining forces with another raw materials supplier, we’ve been able to address two key pigment ink challenges facing the growing digital inkjet printing market: formulation and sagging. Working together with KRONOS has brought us another step closer to a more sustainable textile industry!”
Key Benefits
- More sustainable: Digital inkjet printing can significantly reduce CO₂ emissions.
- Stable & compatible: The formulations showed good stability after four weeks of testing at 50°C.
- High-performance: INSQIN® binders deliver excellent fastness, printability, and image quality.
- Anti-sagging: Impranil® DL 1606 offers excellent anti-sagging properties in DTF printing.
- White-ink compatible: Impranil® DL 1606 enables high white ink loads, so it’s great for white pigment inks.