
Nachhaltigerer Textildruck mit INSQIN®
Die Textilindustrie ist einer der größten Umweltverschmutzer der Welt. Jedes Jahr verursacht sie 92 Millionen Tonnen Deponiemüll und 1,2 Milliarden Tonnen CO2-Äquivalente. Digitaler Textildruck kann dazu beitragen, diese Umweltbelastungen zu verringern: Er kann die Überproduktion bekämpfen, indem er die Herstellung von Losgrößen im einstelligen Bereich ermöglicht und dabei energie- und ressourceneffizienter arbeitet.
Der Wechsel von analogem zu digitalem Textildruck unter Verwendung von Pigmenttinte kann eine 85%ige Verringerung der Abfallstoffe, eine 55%ige Verringerung des Energieverbrauchs, eine 60%ige Verringerung des Wasserverbrauchs und eine 95%ige Verringerung der CO2-Emissionen ermöglichen. Kurz gesagt: Der digitale Textildruck bietet die große Chance, die Nachhaltigkeit in der Textilproduktion zu verbessern.
Wie bei anderen Drucktechnologien auch werden beim Inkjet-Druck passende Drucktinten benötigt, um erfolgreich zu sein. Insbesondere sind für diese Technologie fortschrittliche Formulierungen und sorgfältig ausgewählte Rohstoffe wie Polyurethan-Bindemittel erforderlich. Ihre guten mechanischen Eigenschaften, ihre hohe Lichtbeständigkeit und ihre angenehme Haptik machen diese Bindemittel zu einer geeigneten Wahl.
Für digitale Druckanwendungen eignen sich jedoch nicht alle Polyurethandispersionen: Der Erfolg hängt von der Kompatibilität verschiedener Materialien und Formulierungen ab. Für hervorragende Druckergebnisse und die Beschleunigung der Einführung des digitalen Textildrucks müssen die Akteure in der gesamten Wertschöpfungskette der Textilindustrie gemeinsam an kompatiblen Lösungen arbeiten.
Darüber hinaus ist der Transferdruck (DTF-Druck), bei dem die Drucktinte auf eine Folie aufgebracht wird, bevor sie durch den Eintrag von Hitze auf das Textilsubstrat transferiert wird, dank Vorteilen wie geringen Ausfallkosten, einfacher Anwendung und substratunabhängigem Druck, eine besonders beliebte Drucktechnologie. Aufgrund des relativ hohen Auftrags der Drucktinte können dabei jedoch starke Tintenverläufe („sagging“) verursacht werden.

„Mit dieser Zusammenarbeit stellen wir sicher, dass unsere KRONOS 9900 Digital White Pigmentdispersion mit den INSQIN® Polyurethan-Bindemitteln von Covestro kompatibel ist – ideal für den Transfer-Textildruck. Gemeinsam haben wir ein Hindernis für die Einführung nachhaltigerer digitaler Drucktechnologien überwunden.“
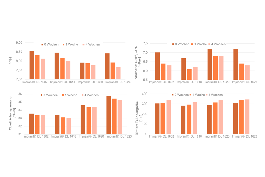
Um diesen Anforderungen gerecht zu werden, haben wir uns mit KRONOS zusammengetan, einem führenden Hersteller von Titandioxidpigmenten, der kürzlich eine weiße Pigmentdispersion für den Inkjet-Markt vorgestellt hat. Gemeinsam haben wir die Kompatibilität von vier per Inkjet-Druck verarbeitbaren Impranil® Polyurethan-Bindemitteln aus unserem INSQIN® Portfolio mit KRONOS 9900 Digital White für weiße Drucktinten getestet und ihre Stabilität in einer Inkjet-Druck-Tintenformulierung überprüft.
Die Testergebnisse haben gezeigt, dass unsere INSQIN® Toolbox für den Digitaldruck mit KRONOS 9900 Digital White kompatibel ist. Es wurde keine signifikante Sedimentation beobachtet und alle Formulierungen wiesen auch nach vier Wochen andauernden Tests bei 50 °C eine gute Stabilität auf.

Im Rahmen unserer Zusammenarbeit und angesichts der starken Marktnachfrage nach weißen Tinten für den DTF-Druck haben wir eine weitere Herausforderung identifiziert: das Sagging. Aus diesem Grund haben wir mit Impranil® DL 1606 eine neue Polyurethandispersion entwickelt, die das Problem des Sagging im DTF-Druck lösen soll. Dieses hochmoderne Bindemittel bietet exzellente Anti-Sagging-Eigenschaften und ermöglicht eine hohe Last mit weißer Drucktinte. Diese Vorzüge machen es zu einer ausgezeichneten Wahl für weiße Pigmenttinten im Inkjet-Druck. Seine Leistung in Bezug auf Kompatibilität, Stabilität, Bedruckbarkeit und Bildqualität wurde von unseren Innovationspartnern validiert. Das bedeutet, dass Textilhersteller die Umwelt- und Effizienzvorteile des digitalen Textildrucks nutzen können, ohne Abstriche bei der Hochwertigkeit des Ergebnisses.
Kurz gesagt: Durch die Zusammenarbeit an einer innovativen Lösung und die Bereitstellung einer Materialinnovation der nächsten Generation zusammen mit KRONOS machen wir es den Akteuren in der Textilindustrie heute leichter denn je, den digitalen Inkjet-Druck einzusetzen und so zu einer nachhaltigeren Textilindustrie beizutragen.
„Durch die Zusammenarbeit mit einem anderen Rohstofflieferanten konnten wir zwei zentrale Herausforderungen im Bereich der Pigmenttinten überwinden, denen sich der wachsende Markt für digitalen Inkjet-Druck gegenübersieht: Formulierung und Sagging. Dank der Zusammenarbeit mit KRONOS haben wir einen weiteren Schritt auf dem Weg zu einer nachhaltigeren Textilindustrie gemacht!“
Wesentliche Vorteile
- Nachhaltiger: Der digitale Inkjet-Druck kann die CO₂ -Emissionen deutlich reduzieren.
- Stabil und kompatibel: Die Formulierungen zeigten nach vierwöchigen Tests bei 50 °C eine gute Stabilität.
- Leistungsstark: INSQIN® Bindemittel bieten hervorragende Farbechtheit, Bedruckbarkeit und Bildqualität.
- Anti-Sagging: Impranil® DL 1606 bietet hervorragende Eigenschaften, um das Sagging im DTF-Druck zu vermeiden.
- Mit weißer Drucktinte kompatibel: Impranil® DL 1606 ermöglicht einen hohen Auftrag mit Drucktinte und eignet sich daher hervorragend für weiße Pigmenttinten.